中级注册安全工程师题库
首页
在线题库
个人中心
当前位置:
在线考试题库网
中级注册安全工程师题库
[单选题]
某矿井一采区的无分支独立进风巷L被均匀的分为a、b、c3段,断面形状分别为半圆拱形、矩形和梯形,三段巷道的断面积相等。关于通风阻力、风阻、风量及等积孔的说法,正确的是( )。
A
用h表示通风阻力,则h<sub>a</sub>=h<sub>b</sub>=h<sub>c</sub>
B
用R表示风阻,则R<sub>a</sub>=R<sub>b</sub>=R<sub>c</sub>
C
用Q表示风量,则Q<sub>a</sub>=Q<sub>b</sub>=Q<sub>c</sub>
D
用A表示等积孔,则A<sub>a</sub>=A<sub>b</sub>=A<sub>c</sub>
正确答案:
C
学习难度:
题目解析:
某矿井一采区的无分支独立进风巷L被均匀的分为a、b、c3段,中间没有风流分汇点的线路叫串联风路。风流依次流经各串联风路(巷道)且中间无分支风路(巷道)的通风方式叫串联通风。串联风路各段风路上的风量相等,即Q
a
=Q
b
=Q
c
。在井巷断面相同的条件下,圆形断面的周长最小,拱形次之,矩形、梯形断面周长较大,而当风量、断面面积、巷道长度相同的情况下,通风阻力与风阻与巷道的断面周长成正比,因此h
a
最小,R
a
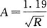
最小。等积孔公式为
,因此3段的等积孔不相等。
查看正确答案与解析
上一题
下一题
领取2025中级注册安全工程师考前押题
提交信息
重置
提示:我们将把押题资料以短信的方式发送至您的手机
中级注册安全工程师相关问题
直击灵魂考点,一一破解
查看更多
井下巷道轨道运输中,两机车或两列车在同一轨道同一方向行驶时,必须保持不少于( )m的距离。 -中级注册安全工程师题库
查看答案
煤的自燃倾向性是煤的一种自然属性,受到各种条件的影响。决定常温下煤的自燃倾向性的内在条件是(  )。-中级注册安全工程师题库
查看答案
某井工煤矿采用平硐一斜井开拓方式,机械抽出式通风,其中主、副井为平硐,回风井为斜井;矿井有一个可采煤层:经鉴定,矿井为低瓦斯矿井,煤尘具有爆炸危险性,开采煤层自燃倾向性类别为容易自燃。 矿井开采原煤由主平硐运至地面后经皮带走廊送入选煤厂,洗选后的精煤送入5000 t储煤仓。井下的矸石由矿车从平硐运出后,用矸石山绞车提升运至翻矸架排放。矿井布置一个采煤工作面和两个掘进工作面。采煤工作面采用综采工艺,全部垮落法管理顶板,通风方式为“U" 型通风;掘进工作面采用综掘工艺,锚杆支护,局部通风机通风;采掘工作面均安装有防尘管路、洒水降尘装置和隔爆水棚。 该煤矿配备了经安全培训合格的矿长、总工程师、安全副矿长、生产副矿长、机电副矿长、通防副总工程师等管理人员,设置有安全科等安全管理机构,建有完善的安全生产责任制、安全管理制度和安全操作规程,编制有完整的事故应急预案。近年来,由于安全管理到位,生产状况良好,井下未发生伤亡事故。但2017年10月8日发生一起交通事故,该矿员工甲在骑车上班途中闯红灯与正常行驶的车辆相撞,造成重伤骨折。 根据以上场景,回答下列问题: 1.根据《企业职工伤亡事故分类》(GB6441),列出皮带走廊可能发生的事故类型。 2.根据《工伤保险条例》,判断员工甲是否应被认定为工伤,并列出应视同工伤的情形。 3.列出矿井煤尘爆炸应急预案编制的程序。 4.列出矿长的安全管理职责。-中级注册安全工程师题库
查看答案
两条或两条以上的通风巷道,在某一点分开,又在另一点汇合,其中间没有交叉巷道,这种巷道结构叫并联通风网络。关于并联通风网络特征的说法,错误的是(  )。-中级注册安全工程师题库
查看答案
为保证井下员工职业健康,某煤矿在防尘口罩的选用过程中考虑了口罩的型式、流量、吸气阻力等特性与参数。根据《煤矿职业安全卫生个体防护用品配备标准》(AQ1051),关于防尘口罩选用的说法,正确的是( )。-中级注册安全工程师题库
查看答案
在煤矿采区内的隔断风流的设施主要有( )等。 -中级注册安全工程师题库
查看答案
某煤矿回采工作面进行机电安装时,电工甲用导线将一台馈电开关的外壳与埋在地下 的金属极进行连接。这种接线方式,属于供电保护的(  )。-中级注册安全工程师题库
查看答案
某煤矿发生瓦斯爆炸,救护队连续工作20多个小时,先后发现28名人员遇难,次日在寻找唯一一名失踪人员时,发生二次爆炸,造成5名救护队员死亡。根据《生产安全事故报告和调查处理条例》(国务院令第493号),这起事故的等级是( )。-中级注册安全工程师题库
查看答案
煤层开拓、开采技术直接影响着煤自然发火。下列煤矿开采技术措施中,不利于防治煤自然发火的是(  )。-中级注册安全工程师题库
查看答案
C露天煤矿一采区目前有两个作业平台,其中第二作业平台标高1430 m,在其上方约15 m处,有一不规则的第一作业平台,标高1445 m,长度约为210 m,宽度约为30 m。为降低第一台阶高度,在第一平台沿边缘走下,布置钻孔约85个,煤孔装药约50 kg,本次共装药为4.25 t,液压挖机和自卸车在第二平台进行装运扎实作业,距离爆破平台边缘倾斜距离约20 m。 2016年7月26日上午11时左右,某爆破公司刘某将爆破物品拉到该露天煤矿爆破现场,组织煤矿爆破小队开始卸车,在卸车过程中,刘某因家里有急事,向该爆破公司项目部经理请假后回家,刘某离开前未对作业现场做出任何停止装药爆破等相关指示,项目部经理也未安排其他专业技术人员到现场监督指导。煤矿爆破班长张某带领人员向炮眼装药,同时装入了导爆管,大约16时30分完成装药封孔工作,并对起爆电雷管网路进行了连线。本次爆破采用电雷管角线串联的方式,完成准备工作后,张某等所有装药爆破人员撤出了爆破区域,并在1445平台入口进行警戒,等待爆破时间。该矿规定,每天爆破时间为18点到19点。当天17时左右开始下小雨,在另一采区的爆破管理人员李某用对讲机通知施工队现场负责人陈某撤出现场人员和机械,此时雨越下越大,并伴有雷电,大约17时30分左右,一声巨响,雷管和填装好的炸药被引爆,扬起的碎石及爆炸冲击波将1430平台正在撤离的8号挖掘机和13号自卸车驾驶室损毁。事故发生后,立即组织展开救援,最终挖掘车司机因伤势较重,在送往医院的途中死亡,自卸车司机被送往医院治疗。 问题: 1.结合材料说明该起事故发生的主要原因是什么? 2.请列举至少5项露天深孔台阶爆破参数。 3.结合材料说明露天深孔台阶爆破布孔结束后的验收工作应满足的要求有哪些? 4.该起爆破事故的有害影响主要是扬起的碎石及爆炸冲击波,请指出防止产生强烈空气冲击波的具体措施有哪些?-中级注册安全工程师题库
查看答案
不同生产阶段应该及时进行各类涌水量的预测,以便修正和完善现有的防、排水系统。属于确定性数学模型法进行涌水量预测的方法是(  )。-中级注册安全工程师题库
查看答案
火区熄灭的条件正确的是( )。 -中级注册安全工程师题库
查看答案
某生产矿井开采区域不断扩大,为满足安全生产要求,该矿拟采取以下措施增加矿井总风量:①增加主要通风机的转速;②扩大矿井总回风巷的巷道断面;③降低矿井巷道的摩擦阻力系数;④减小轴流式主要通风机叶片安装角。上述拟采取的措施中,不能增加矿井总风量的是( )。-中级注册安全工程师题库
查看答案
煤巷突出危险性预测的方法主要有( )。-中级注册安全工程师题库
查看答案
某煤矿瓦斯涌出量较大,自然发火严重,矿井通风总阻力h为2880 Pa、矿井总风量Q为7200m3/min。进回风井口标高均为+50m,开采水平标高为-350m。2017年3月该矿进行改扩建,通风系统发生重大变化。为保证矿井安全生产,提高矿井的抗灾能力,该矿决定进行全面的通风系统优化改造。通风科编制了通风阻力测定方案,制定了相关安全措施,组织相关部门进行全矿井通风阻力测定。鉴于矿井通风系统线路长、坡度大、直角拐弯多、巷道内局部堆积物较多、有矿车滞留现象、盘区内设置有较多调节风窗,决定采用气压计法测定矿井通风阻力,迎面法进行测风。测量仪器有干湿球温度计、精密气压计、机械式叶轮风表(高、中、低速)和巷道尺寸测量工具等。其中,风表启动初速度设定为0,校正系数为1.2。经测定,矿井进风井空气密度为1.25 kg/m3,回风井空气密度为1.20 kg/m3。;石门测风站巷道净断面为10m2,风表的表风速为5 m/s;二盘区下部的3211回采工作面的风量为1200 m 3/min,分三段测定了该回采工作面的通风阻力,其中进风巷通风阻力为44 Pa,作业面通风阻力为60 Pa,回风巷通风阻力为40 Pa。 根据通风阻力测定结果,通风科等部门掌握了矿井风量和通风阻力分布情况,对矿井通风系统进行了分析评价,并针对部分高阻力巷道采取了降阻优化措施。 根据以上场景。回答下列问题:  1.计算该煤矿自然风压、石门测风站风量及矿井总风阻。  2.计算3211回采工作面(包括进风巷、作业面、回风巷)的通风阻力、风阻和等积孔(保留小数点后两位)  3.列出降低该煤矿局部通风阻力的技术措施。  4.列出煤矿发生火灾时通常可采取的风流控制措施。-中级注册安全工程师题库
查看答案
下列关于矿山粉尘的性质及危害的说法中正确的是( )。 -中级注册安全工程师题库
查看答案
根据通风阻力定律,计算巷道的摩擦阻力系数需测定巷道的摩擦阻力、风量和几何参数。关于通风阻力测定要求的说法,正确的是(  )。-中级注册安全工程师题库
查看答案
矿井注浆防灭火技术包括制浆材料的选择、泥浆的制备和泥浆的输送等内容。下列制浆材料物理特性中,符合注浆材料选择要求的是(  )。-中级注册安全工程师题库
查看答案
内因火灾的主要特点有( )。 -中级注册安全工程师题库
查看答案
根据以下材料,回答问题 某煤矿核定生产能力为1.5 Mt/a,二采区布置有1201回采工作面、1202回风巷掘进工作面和1202运输巷掘进工作面。1202回风巷与1201回采工作面的运输巷(进风巷)相邻。由于1202回风巷掘进工作面难以构成独立的通风系统,该矿制定了相应的安全技术措施,其回风串联进入1201回采工作面的运输巷,并安设了串联通风甲烷传感器。 2015年6月5日14时05分,1202回风巷掘进工作面发生冲击地压事故,瓦斯大量涌出,巷道瞬时瓦斯浓度达到10%以上。此时,1201回采工作面运输巷乳化液泵站附近,电工甲正在带电检修照明信号综合保护装置。14时10分,高浓度瓦斯扩散到乳化液泵站附近,遇照明信号综合保护装置维修过程中产生的电火花,引起瓦斯爆炸事故,造成9人死亡、9人重伤,其中1名重伤人员在送至医院后,于6月16日15时经抢救无效死亡。 经调查,负责冲击地压防治工作的防冲办,前期通过冲击地压监测数据分析,已于6月4日20时发出预警,要求采掘区队做好相关预防与处理工作,但采掘区队并没有采取相应的安全措施;瓦斯异常涌出后,甲烷传感器没有报警,该传感器已经45天未进行调校;电工甲未取得井下电钳工资格证书。 经统计,事故造成的经济损失:医疗费用330万元、抚恤费用1500万元、补助费用410万元、歇工工资80万元、事故罚款150万元、补充新职工培训费用90万元;井下设备损坏、巷道破坏等损失共计2700万元;停产损失11000万元。 -中级注册安全工程师题库
查看答案
最新问题
直击灵魂考点,一一破解
查看更多
根据下列材料,回答问题。 某企业为增值税一般纳税人,适用的增值税税率为13%,该企业2022年12月初“应付职工薪酬”科目贷方余额为500万元,12月发生的有关职工薪酬的业务资料如下: (1)以银行存款支付上月的应付职工薪酬,并按规定代扣代缴职工个人所得税22万元和个人负担的社会保险费58万元,实发工资420万元。 (2)计提供专设销售机构职工免费使用的20辆小汽车的折旧,每辆小汽车每月折旧额为500元。 (3)分配本月货币性职工薪酬300万元(未包括累计带薪缺勤相关的职工薪酬),其中,直接生产产品人员180万元,车间管理人员50万元,企业行政管理人员40万元,专设销售机构人员30万元,该职工薪酬将于下月初支付。 (4)外购20台空气净化器作为本月生产车间工人的福利补贴发放。每台空气净化器买价1130元,其中含增值税130元,款项以银行存款支付。(提示:增值税未认证,税金可直接计入成本) (5)该企业实行累积带薪缺勤制度,期末预计10名部门经理人员和15名销售人员未使用带薪休假,预期支付的薪酬金额分别为4万元和8万元。 -初级会计师题库
查看答案
根据下面资料,回答问题 甲公司为增值税一般纳税人,适用的增值税税率为13%。2019年12月发生下列销售业务: (1)3日,向A公司销售商品1000件,每件商品的不含税标价为8万元,在此基础上,甲公司同意给予A公司10%的商业折扣。每件商品的成本为5万元。商品已发出,并开出增值税专用发票,货款已收存银行。 (2)5日,向B公司销售商品一批,开出的增值税专用发票上注明的售价为600万元,增值税税额为78万元。该批商品的成本为400万元。13日,收到B公司全部款项,并存入银行。 (3)15日,向C公司销售商品一批,开出的增值税专用发票上注明的售价为900万元,增值税税额为117万元,该批商品的成本为700万元。商品已发出,货款尚未收到。 (4)21日,收到D公司退回的当年5月所购商品的20%。该商品的售价为1000万元,成本为800万元,且于发出商品当日收到全部款项。经核查,该批商品存在质量问题,甲公司同意了D公司的退货要求。当日,收到D公司交来的税务机关开具的进货退货证明单,并开具红字增值税专用发票和支付退货款项。 (5)甲公司本年度10月1日接受一项产品安装业务,安装期为5个月,合同总收入为60万元,至年底已预收款项45万元,已实际发生的成本为28万元,用银行存款支付,估计还将发生的成本为12万元。假定上述合同对甲公司来说属于在某一时段内履行的履约义务,且履约进度能够合理确定.以已发生成本占估计总成本的比例确定履约进度。(假设不考虑增值税。) 要求:根据上述资料,分析回答下列小题。(答案中的金额单位用万元表示) -初级会计师题库
查看答案
根据下面资料,回答问题 甲公司是一家股份有限公司,为增值税一般纳税人。2020年1月1日。所有者权益总额为10000万元,其中股本6000万元,资本公积1000万元,盈余公积1200万元,未分配利润1800万元。2020年度甲公司发生如下经济业务: (1)M投资者投入自产产品一批,双方确认价值为540万元,公允价值是560万元,税务部门认定增值税为72.8万元,并开具了增值税专用发票。同时甲公司增加股本400万元,相关法律手续已办妥。 (2)经股东大会决议,并报有关部门核准,甲公司增发普通股600万股,每股面值1元,每股发行价格5元,按照发行股款的2%向证券公司支付发行费。发行款已全部收到并存入银行。 (3)因扩大经营规模需要.经股东大会批准。甲公司将盈余公积360万元转增股本。 (4)结转本年实现净利润800万元。 (5)按税后利润的10%提取法定盈余公积。 (6)向投资者宣告分配现金股利100万元。 (7)将“利润分配——提取法定盈余公积”“利润分配——应付现金股利”明细科目余额结转至“利润分配——未分配利润”明细科目。 要求:根据上述资料,不考虑其他因素,分析回答下列小题。 -初级会计师题库
查看答案
现金流量表的基本原理是以收付实现制为基础提供的会计核算资料为依据,按照权责发生制基础进行调整计算,以反映现金流量增减变动及其结果。( )-初级会计师题库
查看答案
企业购入的房地产,部分用于出租(或资本增值)、部分自用,用于出租(或资本增值)的部分应当予以单独确认。( )-初级会计师题库
查看答案
购买债权投资实际支付价款中包含的已到付息期但尚未领取的债券利息,应当计入债权投资的成本。( )-初级会计师题库
查看答案
当有确凿证据表明不能取得投资性房地产的公允价值时,投资性房地产后续计量应由公允价值模式转为成本模式。( )-初级会计师题库
查看答案
企业以自产的产品对外捐赠,由于会计核算时不做销售处理,因此不需要缴纳增值税。( )-初级会计师题库
查看答案
企业委托加工的应税消费品收回后用于直接销售的,应将受托方代收代缴的消费税计入委托加工物资的成本。( )-初级会计师题库
查看答案
对于随同商品出售而不单独计价的包装物,企业应按实际成本计入销售费用。( )-初级会计师题库
查看答案
当预付账款小于采购货物所支付的款项,收到货物时,差额部分记入“应付账款”科目的贷方。( )-初级会计师题库
查看答案
职工出差报销的火车票和餐饮费发票等都属于自制原始凭证。( )-初级会计师题库
查看答案
银行存款余额调节表,可以作为调整银行存款账面余额的记账依据。( )-初级会计师题库
查看答案
下列各项中,属于现金流量表中现金等价物的特征的有(  )。-初级会计师题库
查看答案
下列各项中,不影响企业当期营业利润的有(  )。-初级会计师题库
查看答案
下列各项中,关于生产性生物资产的表述中,正确的有( )。-初级会计师题库
查看答案
下列各项中,属于期间费用的有( )。-初级会计师题库
查看答案
下列各项中,计入工业企业其他业务成本的有(  )。-初级会计师题库
查看答案
企业计提固定资产折旧时,下列会计分录正确的有( )。-初级会计师题库
查看答案
下列各项中,应计入其他应付款的有( )。-初级会计师题库
查看答案
支付方式
微信
支付宝
支付金额
¥
3380.00元
确定付款
我已同意在线考试题库网
《服务协议》
请输入你的问题
提交